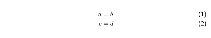
別々の式のイコールの位置は揃えたいがalign環境などでそのまま書くと上下の式がくっついて紛らわしく、\vspaceを用いてもスペースを空けることができないという状況に当たりました。
そのまま書くと以下のような出力となります*1。
\begin{align} a &= b \\ c &= d \end{align}

解決方法
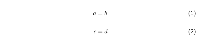
mathtools.styの\shortintertextを用いることで1行分のスペースを空けることができます。これは本来数式と数式の間にスペースを空けずに式と式の間に文章を挿入しますが、中に何も入れなければ空行が入ります。
% プリアンブル部 \usepackage{mathtools} % 省略 \begin{align} a &= b \shortintertext{} c &= d \end{align}

もう少し上下幅を小さくしたかったのですがやり方が分かりませんでした。
補足:mathtools.styの導入
下記のURLからmathtools.tds.zipをダウンロードします。
https://ctan.org/tex-archive/install/macros/latex/contrib
フォルダ内のtex/latex/mathtools/mathtools.styを取り出して.texファイルと同一階層に置き、プリアンブル部に\usepackage{mathtools}と書きます。
*1:サンプル画像は全てbeamer+professionalfontsで表示したものを切り取っています