MP導出の図を向きを変える。



スタックとリストの関係と等式の証明


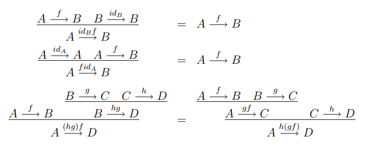
計算図



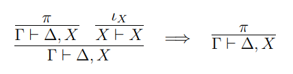
リーズニング図



紙芝居方式リーズニング図

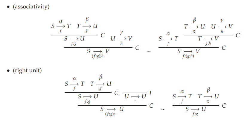
リーズニング図の同値変形



分岐合流紙芝居方式リーズニング図


線形証明とグラフ証明図とツリー証明図

連言リストと宣言リスト、α, β は論域。

論域をストライプやボックスで表す。

定理と証明の構造

MP導出の図を向きを変える。



スタックとリストの関係と等式の証明


計算図



リーズニング図



紙芝居方式リーズニング図

リーズニング図の同値変形



分岐合流紙芝居方式リーズニング図


線形証明とグラフ証明図とツリー証明図

連言リストと宣言リスト、α, β は論域。

論域をストライプやボックスで表す。

定理と証明の構造
